Collisions in One-Dimension and Rocket Propulsion

We reviewed the equations for elastic and inelastic collisions.
In particular:
In either case the velocity of the CM is given by:
which also happens to be the velocity with which both masses move off after the collision if it is perfectly inelastic.
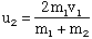
We also pointed out that if you want to give the maximum velocity to mass m2 after the collision, the collision should be elastic. In fact, we showed that if the collision is completely inelastic, the velocity is given by the above equation but if the collision is comletely elastic then:
Rockets
Suppose we have a rocket which is moving with velocity v and has total mass:
The second term in the above is the mass of the propellant it is about to eject with velocity vo measured with respect to the rocket.

Note then that the velocity of the ejected propellant is:
and conservation of momentum yields:
Solving:
If you start with an initial mass of mi (casing + fuel) and end with mass mf (casing) then the incremental speed delivered to the rocket is: