Minimizing Surface Area
 

Here is a photo of the Standard Mass used to define a kilogram.

 

The picture and caption are from a physics text. First of all - the dimensions given in the caption are clearly wrong. However is is true that the diameter and height of the cylinder are equal.

The reason the diameter and height are chosen to be equal is to minimize surface area to volume for fixed volume. This is desirable because it is the surface area which is subject to corrosion by contact with air. Let's show this.

Suppose a cylinder has height h and radius r. The total surface area is S and volume is V where:

and

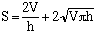
What we want to do is get an expression for S in terms of h for fixed V. We solve for r using the above expression:

Substitute this into the expression for S:

To find the minimum S, differentiate the above with respect to h and set the resulting expression equal to zero and then solve for h:

where we used the expression for V in the last step. Solving this leads to 2r = h or the diameter equals the height.